| 术语 | 含义 | 工程上最关心的点 |
|---|---|---|
| 堆积密度 | 自然装填后的体积密度 | 决定装填量与设备体积 |
| 振实密度 | 按规定敲击/振实后的密度 | 用于可比的工程换算 |
| 粒度分布 | 不同粒径的比例 | 影响压降与动力学 |
| 抗压碎 | 颗粒抵抗破碎的能力 | 固定床稳定运行底线 |
| 耐磨/抗粉化 | 运输或再生过程抗磨损能力 | 粉尘与二次污染风险 |
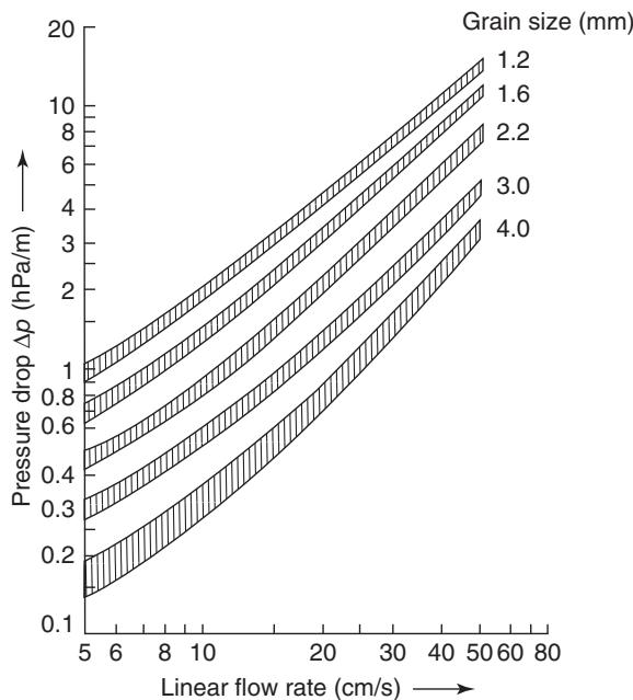
| 压降 | 床层对流体的阻力 | 影响能耗与通量 |
很多吸附与净化装置需要用体积来定义床层高度与装填量,因此即便性能以质量计价,也必须提供体积基准参数。堆积密度受装填方式、容器形状与粒径影响非常大;为了可比性,振实密度往往更有参考价值,因为它把装填过程标准化了。
床层对液体或气体的流动阻力与粒径高度相关。粒径越小,压降越高;粒径越大,压降降低但外扩散/内扩散路径变长,动力学可能变慢。粉末活性炭的研磨细度还会显著影响过滤性能:过细会导致过滤阻力增大并引发跑粉风险。

图1. 不同粒径成型活性炭床层的压降对比(原始图 9.3)
同样是 GAC/成型炭,不同应用对强度的要求方向不同:
工程上最容易忽略的是:实验室强度数据往往是在常温、干燥、短时间条件下得到的,而现场可能存在湿热循环、氧化性气氛与再生热冲击,这些都会放大粉化风险。
粒度与强度不是孤立指标,必须与床层高度、表观流速、允许压降与再生方式一起确定。更“细”的颗粒不一定更好,更“硬”的颗粒也不一定更好,最优点通常是以系统能耗与运行周期为目标的权衡解。
为什么堆积密度与振实密度会差很多? 因为堆积密度强依赖装填方式与粒度,振实密度通过标准化敲击/振实减少随机性。
粒径变小一定能提升吸附效率吗? 动力学可能更快,但压降与过滤阻力会显著上升,且跑粉风险增加,需要综合权衡。
固定床最怕什么机械失效? 颗粒压碎与粉化导致压降上升、通量下降与二次污染,最终引发停机维护。
气力输送为什么更看重耐磨? 因为颗粒在管道与弯头处持续冲击摩擦,粉化会迅速累积并放大压降与粉尘排放风险。
为什么要把温度与气氛写进强度评价? 因为热冲击与氧化环境会加速结构损伤,常温短时强度并不能代表现场寿命。
依托国家磨料磨具质量监督检验中心能力体系**,
面向石墨、焦炭、石油焦、炭素制品、锂离子电池石墨类负极材料等碳材料
提供化学成分、晶体结构、力学性能、物理性能、高温性能等检测服务,可覆盖石墨化度、灰分、挥发分、固定碳、全硫/硫分、体积密度、真密度、气孔率、电阻率、抗压强度、抗折强度、抗拉强度、高温力学性能等关键指标。
依托国家级质检平台基础、CNAS 认可、CMA 资质认定及央企体系背景,精工博研-国磨质检可为企业研发验证、原料评价、质量控制、产品性能测试及进出口质量证明等场景提供专业、规范、可信的检测技术支持。
针对石墨等碳材料进出口业务,和国内多个海关合作,相关检测报告可作为企业报关、报关及质量技术说明的参考依据
首页
检测领域
服务项目
咨询报价