| 术语 | 含义 |
|---|---|
| 层合板理论 | 用单层正交各向异性参数组合得到层合结构行为的理论 |
| ILSS | 层间剪切强度(Interlaminar Shear Strength) |
| 层内剪切强度 | 发生在单层平面内的剪切强度(intralaminar) |
| 第一层失效 | 任何一层失效即认为整体失效的保守假设 |
| 失效体 | 在应力空间中描述安全区域的曲面/体 |
在一些工程实践中,纤维复合材料仍被用“经典力学 + 等效应力”的方式设计:先算 von Mises 等效应力,再用材料强度除以安全系数给出许用值。对 C/C 这类极端各向异性材料,这种方法往往会把许用值算大一个数量级以上,从而导致构件灾难性失效。
以单向增强 C/C 为例:等效应力模型会推导出扭转强度大约为拉伸强度的 0.56 倍,若假设拉伸强度约 900 MPa,则会得到约 504 MPa 的扭转强度,并可能在安全系数 2 的假设下允许约 252 MPa 的剪切应力。但该材料真实的层内剪切强度可能只有约 26 MPa,安全系数 2 下许用值约 13 MPa,差距可到约 20 倍。
真正的薄弱环节往往出现在层间:单向增强的 ILSS 可在十几 MPa 量级;织物增强平均 ILSS 也可能不足 10 MPa。结构中只要存在法向剪切载荷,层间分层就会成为主要失效路径。

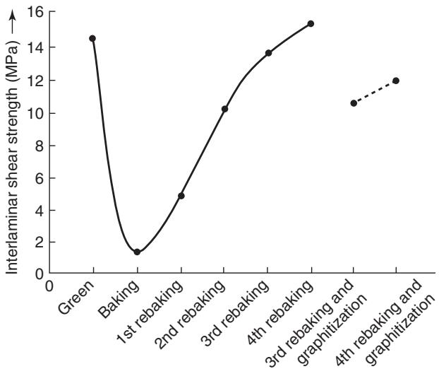
图1. 织物增强 C/C 的 ILSS 随制造阶段变化:第一次炭化后显著下降,反复浸渍后才逐步恢复
虽然被归入陶瓷材料,C/C 的断裂力学行为并不像整体陶瓷那样瞬时崩裂。纤维拔出、界面滑移与裂纹扩展耗能会让材料表现出“温顺”的载荷—位移曲线:同一试样可在多次加载中逐步退化,而不是一次断裂。

图2. C/C 弯曲试样的多次加载载荷—位移曲线:逐次加载强度递减

图3. I 型断裂试样:开裂路径与纤维拔出耗能特征
对薄壁层合构件,至少需要每一层在层面内的四个工程常数:
| 参数 | 含义 |
|---|---|
| E11 | 沿纤维方向杨氏模量 |
| E22 | 层面内垂直纤维方向杨氏模量 |
| G12 | 层面内剪切模量 |
| ν12 | 泊松比 |
各向同性材料常用的 G=E/2(1+ν) 在 C/C 中不成立,G12 必须通过实验获得,否则会被严重高估,从而误判剪切失效风险。
厚壁与三维应力状态还需要补充 E33、G13、G23、ν13、ν23,以及 σ33、τ13、τ23 等强度参数,并在三维层合模型中进行逐层评估。
复合材料失效评估应使用面向复合材料的失效体/准则。Tsai-Wu 失效体是二次曲面(可视化为椭球),但因为各向异性强,椭球可能相对坐标轴“倾斜”,导致某些应力点被判为安全但实际上已经超过试验强度骨架点。工程上通常需要将 Tsai-Wu 与最大应力等准则并用,取更小的安全系数作为最终判据,并逐层、逐积分点评估。

图4. Tsai-Wu 失效体示意
一个典型教训来自 C/C 螺栓:用手拧紧时就发生断裂。事后分析发现,螺纹摩擦引入的扭矩导致层间剪切超过许用值,出现轴向裂纹并进一步诱发横向断裂。类似地,在 C/C 管段的内压爆破试验中,密封结构引入的边界效应会造成局部轴向弯曲应力暴增,使管端区域发生早期失效;只有在数值分析指导下对边界区域进行结构优化后,爆破压力才接近预期值。

图5. 不同压缩强度测试标准对结果的影响:肩部试样会引入多轴应力导致偏低结果

图6. 层合板在拉伸与弯曲下的“等效弹性模量”差异:外层高模量铺层会放大差异

图7. 拉伸/压缩强度在应力空间中的骨架点示意:各向异性导致失效体高度不对称
面向 C/C 的构件设计,建议把“层间剪切与垂直纤维方向拉伸强度”作为第一批红线指标,优先在几何与载荷引入处消除法向剪切与局部弯曲。数值方法上,必须用层合板理论与逐层失效评估,并通过组件试验把边界条件效应(密封、螺纹、夹持、开孔)纳入设计闭环。
为什么不能用 von Mises 等效应力设计 C/C? 因为它假设各向同性并把剪切与拉伸按固定比例关联,无法反映 C/C 极端各向异性的强度与剪切薄弱。
C/C 最薄弱的强度指标通常是什么? 层间剪切强度(ILSS)与垂直纤维方向拉伸强度往往是最先限制构件的指标。
为什么厚壁件更难设计? 薄壁假设不成立,层间应力不可忽略,必须做三维层合建模并评估层间应力与失效。
Tsai-Wu 为什么不能单独使用? 失效体可能相对坐标轴倾斜,存在“被判安全但已超强度骨架点”的风险,需辅以最大应力等准则。
为什么材料试样强度不能直接用于构件许用值? 试样往往已经处于多轴应力状态,夹持与边界效应会触发层间失效,必须用数值—试验闭环校准。
依托国家磨料磨具质量监督检验中心能力体系**,
面向石墨、焦炭、石油焦、炭素制品、锂离子电池石墨类负极材料等碳材料
提供化学成分、晶体结构、力学性能、物理性能、高温性能等检测服务,可覆盖石墨化度、灰分、挥发分、固定碳、全硫/硫分、体积密度、真密度、气孔率、电阻率、抗压强度、抗折强度、抗拉强度、高温力学性能等关键指标。
依托国家级质检平台基础、CNAS 认可、CMA 资质认定及央企体系背景,精工博研-国磨质检可为企业研发验证、原料评价、质量控制、产品性能测试及进出口质量证明等场景提供专业、规范、可信的检测技术支持。
针对石墨等碳材料进出口业务,和国内多个海关合作,相关检测报告可作为企业报关、报关及质量技术说明的参考依据
首页
检测领域
服务项目
咨询报价